RECREATIONAL FISHERY BEFORE AND AFTER DAMMING OF THE SLOVAK STRETCH OF THE DANUBE RIVER

Juraj HOLCIK

Institute of Zoology of Slovak Academy of Sciences, Dubravska cesta 9, 842 06 - Bratislava, SLOVAKIA

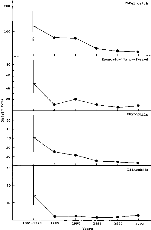
CONCLUSIONS The long-term (1961-1979) mean annual catch of recreational fishery before the damming of the Danube (in October 1992) was 109.96 metric tons and the catch of economically preferred (EP), phytophilous (P) and lithophilous (L) groups was 47.7, 31.0 and 14.4 tons, respectively. In 1993, one year after the damming the total catch dropped to 17.5 tons and that of EP, P and L to 8.6, 3.6 and 2.8 tons, respectively. In comparison with the long-term annual catch, the total catch and the catch of particular groups was by 84.1, 81.1 and 80.7 per cent less. These data correspond with the earlier prediction [2]. The reason of this dramatic catch decline is a destruction of the functional inland delta and a loss of spawning, nursery and wintering grounds for the most important species of fish.

INTRODUCTION

The fishery in the Slovak Stretch of the Danube had (before the Danube damming) an exceptional position despite of the fact that the stretch of the Danube river flowing in Slovakia is only 172 km long and represents about 18% of the total water areas of Slovakia. This was not only because the total average catch represented about 30% of the total catch of fish in Slovakia but also because of its manifold structure. The last was possibly connected with the fact that the Slovak stretch of the Danube river is an intermediate between the lowland and foothill's zones and that is why there live side by side both lowland species like breams (genus Abramis), sterlet (Acipenser ruthenus), wels (Silurus glanis) and mountain's ones e.g. trout (Salmo trutta m. fario, S. mykiss), huchen (Hucho hucho) and barbel (Barbus barbus). As there also live endemic species e.g. schraetzer (Gymnocephalus schraetser) and Balon's ruffe (G. baloni) the species diversity of ichthyofauna of this stretch of Danube exceeds that of all Slovak rivers and also rivers of all neighbouring countries. It should be mentioned at this point that beside of recreational angling, fish was caught here in by commercial fishery which significantly contributed to the fish supply of adjacent villages and cities.

From the limnological point of view, this stretch of the Danube river is one of the best known large rivers. The former Laboratory of Fishery, later Institute of Fishery Reaearch and Hydrobiology (IRFH), devoted themselves to the limnological and fishery research of the Danube river since their establishment in 1953. Several results of this research reached the world priority and were internationally recognised. The Institute also contributed to resolution of problems in connection with the planned and later carried out construction of the Gabcikovo-Nagymaros river barrage system (RBS( since its earliest stages. The problem of fishery was, naturally, at the first place. In fact, since 1963 IRFH systematically put forward the requirements indispensable for the reduction (minimisation) of expected adverse effects of hydropower structures to the responsible institutions. It is necessary to mention that hydropower works of the similar type were built in Europe long before that in Gabcikovo-Nagymaros but also elsewhere. The effects of these water works on the biota were published so that it was possible to predict the impact of the extensive Hydropower system Gabcikovo(Nagymaros on the unique ecosystems of our stretch of the Danube. It should be mentioned that the supply with water of the Danube anabranches which is at present the main argument in favour of alleged "revitalising of Danube and beneficial effect of Hydropower structures Gabcikovo" was put forward along a researchers in the forestry as early as 1975. Our suggestion, after being repeatedly rejected, was accepted and later implemented as late as 1986.

The prognoses that had a connection with the Danube limnology and fishery were published 13 years ago [2]. Hence, it will be interesting and instructive to compare the anticipated and real consequences. It must not be forgotten, however, that from the ecological point of view, the two years interval since the Danube damming at Cunovo in October 1992 is too short and thereby insufficient to infer correct and definitive conclusions. At present, the Hydropower structures only starts to exert effects on the environment and they occur at the initial stage known from the limnology of valley dams. In other words, five, ten or twenty years later, the situation could be completely different from the present one.

THE EVALUATION OF THE CATCH

The catch of fish is an immediate indicator of any interference with an aquatic ecosystem. Here is presented a survey of the catch provided by the Council of Slovak Anglers Union. The analysed data have the following typical features:

  1. Because statistical data for individual years have a one-year shift, the reference data are for the year 1993. I compare them with the statistical average catch for the years 1961-1979 (before the start of the dam construction) as well as with data about the catch for the years 1989-1992 when the construction of the RBS Gabcikovo and the subsequent environmental impact culminated. Chronological series of data enable an insight into the trend of the catch and thereby make the comparison of the states before construction with that after Danube damming more precise and substantiated.
  2. The analysis considers only the catch obtained by the angling, i.e., the recreational fishery which predominated over the commercial one since 1965. Moreover, after 1989 Slovak Anglers Union stepwise restricted and in 1994 forbade the commercial fishery, from the reason unknown to us.

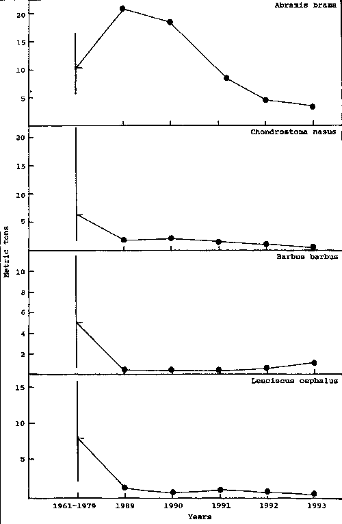
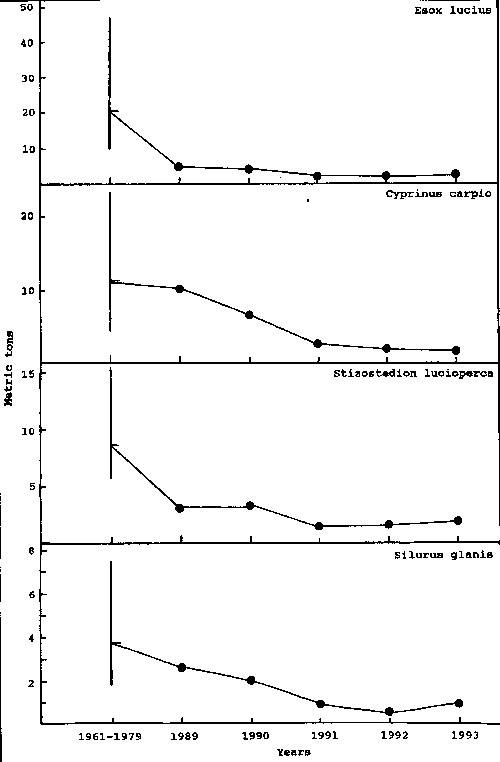
According to the statistical data, the average annual catch by angling in the Slovak stretch of Danube was 109.69 MT (metric tons) in 1961-1979 (Fig. 1); the catch of commercially preferred species (carp, pike, tench, asp, burbot, pikeperch, wels, eel and so called herbivorous species) was 47.7 MT with an average annual contribution 43.4%; the catch of group of species requiring an aquatic or flooded terrestrial vegetation for the reproduction (phytophilous species: carp, pike, tench) 31.0 MT (28.2%, Fig. 2) and the catch of the group of species requiring a gravel-stony substrate for the reproduction (lithophilous species: asp, barbel, nasel; Fig. 3) 14.4 MT (13.1%).

During the years of the culmination of the construction of the Gabcikovo RBS (1989-1992) the total catch decreased to 20.2 MT, i.e., by 81.7% as compared with the status before construction of the structures. The catch of commercially preferred species decreased to 6.4 MT, i.e., by 86.7% as compared with the status before. The catch of the groups of phytophilous and lithophilous species was 3.9 MT, and 2.1 MT, respectively, in 1992, which represent a decrease by 87.4 and 86.7%, respectively.

In 1993, one year after damming of the Danube, the total annual catch with angling was 17.5 MT only and represented a decrease by 84.1% as compared with years 1961-1979. The catch of commercially preferred, phytophilous and lithophilous species were 8.6, 3.6 and 2.8 MT, respectively, which represents the decrease by 81.1%, 88.2% and 80.7%, respectively. The share of phytophilous and lithophilous species in the catch changed during the investigated period. Before the dammming, the portion of phytophilous species was 28.2% and that of lithophilous species 13.1%, while after the Danube damming their portions fell to 20.8% and 15.9%, respectively.

THE ALLEGED APPEARANCE OF NEW FISH SPECIES

The news spread by mass-media mentioned new species which appearing in the Danube that had not occured before are contrary to the reality. All species claimed to appear, namely, rainbow trout and brown trout, brook trout, (Salvelinus fontinalis) and huchen (Hucho hucho) were always present in the concerning stretch of the Danube river (see [2] and the citations therein). However, during the years 1966-1980 their appearance was rather rare in the Danube below Bratislava as well as the appearance of other species vulneable to water pollution (Cottus gobio, Phoxinus phoxinus, Alburnoides bipunctatus, Barbus barbus). Their present expansion in the Danube below Bratislava is not connected with the hydropower structures but with the improvement of the quality of the Danube water [1]. The effect of this factor (which is related to the completion of the wastewater treatment plants of the petrochemical plants in Schwechat, the decrease of the oil leaks from Slovnaft and the completion of the municipal wastewater treatment plants of Vienna and Bratislava) caused the re-expansion of these species as well as of others mentioned above. Besides barbel, many of these species are of small-size and remain usually unnoticed by fishermen (bullhead, spirlin). Their occurrence had a similar time-course as that of salmonids; after their territory diminished in 60ties and 70ties, it expanded again at the beginning of 80ties by the gradual occupation of the temporarily deserted habitats.

THE MIGRATION OF FISH

Since 1992 have been running a programme aimed at monitoring the migration of fish in the Danube river. In order to reach this goal, we tagged 6282 fish (belonging to 27 species) between Cenkov (river km 1735( and Gabcikovo (rkm 1830) in the Slovak stretch of the Danube. On the basis of reaptures we found out that fishes migrated up to the distance 106 km downstream and 67 km upstream and that they also enter the confluents of the Danube: Vah, Ipel, Hron where they swim up to the distance 24 km from their mouths. So far, however, we have no data witnessing the presence of the tagged fish in the stretch of Danube above Gabcikovo and/or Cunovo, respectively. Similarly, we have no indications that the tagged fish was caught in the anabranch system. From these facts unequivocally follows that the dams in Gabcikovo and Cunovo and weirs in the side arms of the former inland delta create insurmountable obstacles for fish. This finding confirmed the data obtained in the study of Djerdap I and Djerdap II reservoirs created in the Romanian-Yugoslavian stretch of the Danube river. These hydropower works form an efficient barrier preventing a migration of fish despite of the construction of ship locks on all hydropower works including Gabcikovo. The ship locks could, theoretically, create a way for fishes suitable to overcome the dam. However, it has been known for a long time that fish enter the ship locks only randomly and rarely (e.g. 3 m long and 181 kg heavy sturgeon was caught at Paks in Hungary at May 16th, 1987 [3]). Hence, the navigation locks could not be regarded a sort of "biocorridors" enabling the bilateral communication between the stretches of a river separated by a dam.

SUMMARY

The data obtained are in agreement with the knowledge gained from similar hydropower works [4] and with the prognosis of the development of ichthyofauna and fishery in the Hydropower structures Gabcikovo which was published in 1981 [2]. According to the last estimation (Table 16, page 125 of the quoted paper) the decrease of the total catch by 78-89% which is in a good correspondence with the total catch in 1993 (the decrease by 84.1%). The cause of the dramatic decrease of the catch is the extinction of the inland delta of Danube and the subsequent loss of spawning grounds, pastures and wintering grounds in the substantial part of this and adjacent stretches of the Danube. The attention must be directed to the fact that the decrease of the total catch shall not stop and shall continue, unless the system of regulations is elaborated and implemented which shall provide with flooding of floodplains as well as the bilateral communication between the old river bed and the river anabranches. The stocking of juveniles into the remnants of the anabranch system is not reasonable because the hydrological conditions in branches do not allow the development of the zooplankton - the main food of juveniles. Moreover, the strong currents streaming in the openings of ill-constructed weirs built between branches enable the downstream fish migration, but not the upstream one.

REFERENCES

[1] Ardó, J., 1994: The Quality of the Danube Water. pp. 12-20 In: Proceedings of the 10th Limnological Conference, Stara Tura, 17.-21. 1994, (in Slovak).

[2] Holcik, J., Bastl, I., Ertl., M., Vranovsky, M., 1981: Hydrobiology and Ichthyology of the Czechoslovak Danube in relation to predicted changes after the construction of the Gabcikovo- Nagymaros River Barrage System. Prace Lab. Rybar. Hydrobiol. 3: 19-158.

[3] Pirogovskii, M., I., Sokolov, L., I., Vasiliev, V., P., 1989: Huso huso (Linnaeus, 1758). pp.156-200. In: J.Holcik (ed.) General Introduction to Fishes. Acipenseriformes. The Freshwater Fishes of Europe. 1/II. AULA - Verlag, Wiesbaden, p. 469.

[4] Welcomme, R., L., 1985: River Fisheries. FAO Fish. Tech. Pap. 262, p. 330.